英文名稱:5-(2,6-Dichlorophenyl)-1H-tetrazole
分子式:C7H4Cl2N4
分子量:215.0395
英文名稱:P,P′-[5′-(4-Phosphonophenyl)[1,1′:3′,1′′-terphenyl]-4,4′′-diyl]bis[phosphonic acid]
分子式:C24H21O9P3
分子量:546.34
英文名稱:5-[(9-Anthrylmethyl)amino]isophthalic Acid
分子式:C23H17NO4
分子量:371.3854
英文名稱:1,3,5-tri[4-(3,5-dimethyl-1H-pyrazol-4-yl)phenyl]benzene
分子式:C39H36N6
分子量:588.76
英文名稱:4,4',4'',4'''-Pyrazino[2,3-g]quinoxaline-2,3,7,8-tetrayltetrakis[benzoic acid]
分子式:C38H22N4O8
分子量:662.60
英文名稱:1,1,2,2-tetrakis(4-(pyrazole-4-yl)phenyl)ethene
分子式:C38H28N8
分子量:596.7
英文名稱:1,3,5-tris(3-(pyridin-4-yl)-1H-pyrazol-1-yl)benzene
分子式:C12H13N3O6
分子量:295.25
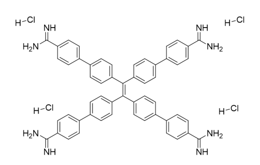
英文名稱:4',4''',4''''',4'''''''-(ethene-1,1,2,2- tetrayl)tetrakis(([1,1'-biphenyl]-4-carboximidamide)) tetrahydrochloride
分子式:
分子量:
英文名稱:Pyridine, 4,4'-(2-fluoro-1,4-phenylene)bis-
分子式:C16H11FN2
分子量:250.27