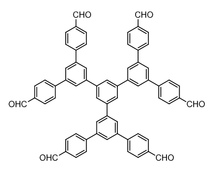
英文名稱:5',5'''',5'''''''-(2,4,6-trimethylbenzene-1,3,5-triyl)tris([1,1':3',1''-terphenyl]-4,4''-dicarbaldehyde)
分子式:C69H48O6
分子量:973.14
英文名稱:
分子式:C48H36N2O4
分子量:704.8
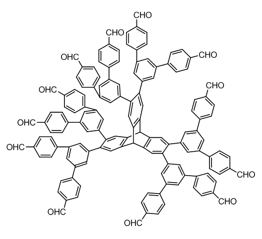
英文名稱:
分子式:C140H86O12
分子量:1960.22
英文名稱:2,4,6-Trihydroxybenzene-1,3,5-tricarbaldehyde compound with benzene-1,4-diamine (1:1)
分子式:C15H14N2O6
分子量:318.28
英文名稱:5',5''-Bis(4-formylphenyl)-[1,1':3',1'':3'',1'''-quaterphenyl]-4,4'''-dicarbaldehyde
分子式:C40H26O4
分子量:570.63
英文名稱:tris(4,4',4"-triboronic acid-phenyl)boron
分子式:C18H18B4O6
分子量:373.581